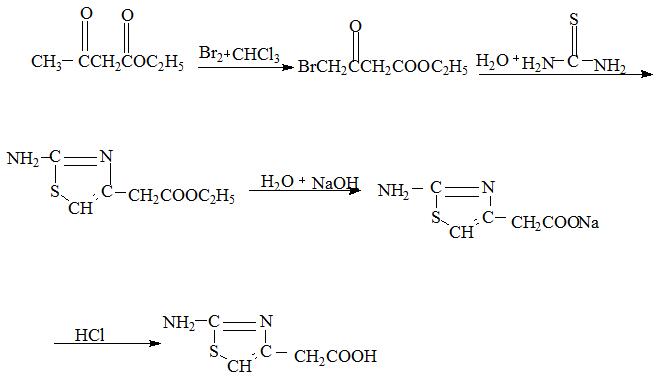
(2-амино-4-тиазолил)уксусная кислота (ATAA) CAS 29676-71-9 Чистота >99,5% (ВЭЖХ) Завод по производству промежуточного цефотиама
Поставка производителя с высоким качеством, коммерческое производство
Химическое название: (2-амино-4-тиазолил)уксусная кислота CAS: 29676-71-9
| Химическое название | (2-амино-4-тиазолил)уксусная кислота |
| Синонимы | АТАА; (2-аминотиазол-4-ил)уксусная кислота; 2-аминотиазол-4-уксусная кислота; 2-амино-4-тиазолуксусная кислота |
| Номер CAS | 29676-71-9 |
| КАТ номер | RF-PI1112 |
| Статус запасов | В наличии, объем производства до тонн |
| Молекулярная формула | C5H6N2O2S |
| Молекулярный вес | 158,18 |
| Бренд | Руифу Кемикал |
Пакет: Бутылка, мешок из алюминиевой фольги, картонный барабан по 25 кг или по требованию заказчика.
Условия хранения:Хранить в герметичных контейнерах в сухом и прохладном месте; Беречь от света и влаги.


(2-амино-4-тиазолил)уксусная кислота (CAS: 29676-71-9) может использоваться в качестве промежуточного продукта цефотиама. Цефотиам — это бета-лактамный цефалоспо-антибиотик третьего поколения, он активен в отношении широкого спектра как грамположительных, так и грамотрицательных бактерий. Полусинтетический цефалоспорин, представленный в виде дигидрохлорида для инъекций и в виде пролекарственного эфира цефотиама гексетила для перорального применения. Активность аналогична активности цефуроксима, но несколько более активна в отношении ряда энтеробактерий.





