3-Тиофенэтанол CAS 13781-67-4 Чистота >99,0% (GC) Основной заводской продукт
Поставка производителя, высокая чистота, коммерческое производство
Химическое название: 3-Тиофенэтанол CAS: 13781-67-4
| Химическое название | 3-Тиофенэтанол |
| Синонимы | Тиофен-3-Этанол; 3-(2-гидроксиэтил)тиофен; 2-(3-тиенил)этанол; 2-(Тиофен-3-ил)этанол |
| Номер CAS | 13781-67-4 |
| КАТ номер | RF-PI1001 |
| Статус запасов | В наличии, объем производства до тонн |
| Молекулярная формула | C6H8OS |
| Молекулярный вес | 128,19 |
| Точка кипения | 110,0~111,0℃/14 мм рт.ст.(лит.) |
| Плотность | 1,144 г/мл при 25 ℃ (лит.) |
| Индекс преломления | n20/D 1,552 (букв.) |
| Бренд | Руифу Кемикал |
| Товар | Технические характеристики |
| Внешний вид | Бесцветная или светло-желтая прозрачная жидкость |
| Чистота/метод анализа | >99,0% (GC) |
| 2-Тиофенэтанол | <1,0% |
| Время удержания 8,335 мин. | |
| Содержание воды (KF) | ≤0,50% |
| Всего примесей | <1,0% |
| Стандартный тест | Корпоративный стандарт |
| Использование | Фармацевтические полупродукты |
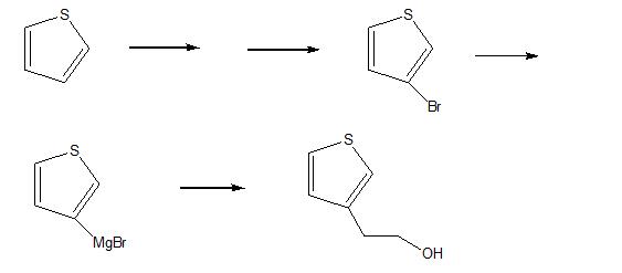
3-Тиофенэтанол (CAS: 13781-67-4) Синтетический путь
Пакет: Бутылка, 25 кг/баррель или по требованию заказчика.
Условия хранения:Хранить в герметичных контейнерах в сухом и прохладном месте; Беречь от света и влаги.


3-Тиофенэтанол (CAS: 13781-67-4) используется в качестве реагента при синтезе pH-чувствительных наночастиц сопряженного полимера, излучающих в ближнем-ИК-диапазоне, для клеточной визуализации и контролируемой-доставки лекарств. 3-Тиофенэтанол также используется в качестве реагента при получении мощных ингибиторов РНК-полимеразы респираторно-синцитиальных вирусов.





