ДМДО-Cl CAS 80841-78-7 Чистота >96,0% (GC) Завод по производству промежуточного продукта олмесартана медоксомила
Ruifu Chemical Supply Olmesartan Medoxomil Intermediate с высоким качеством:
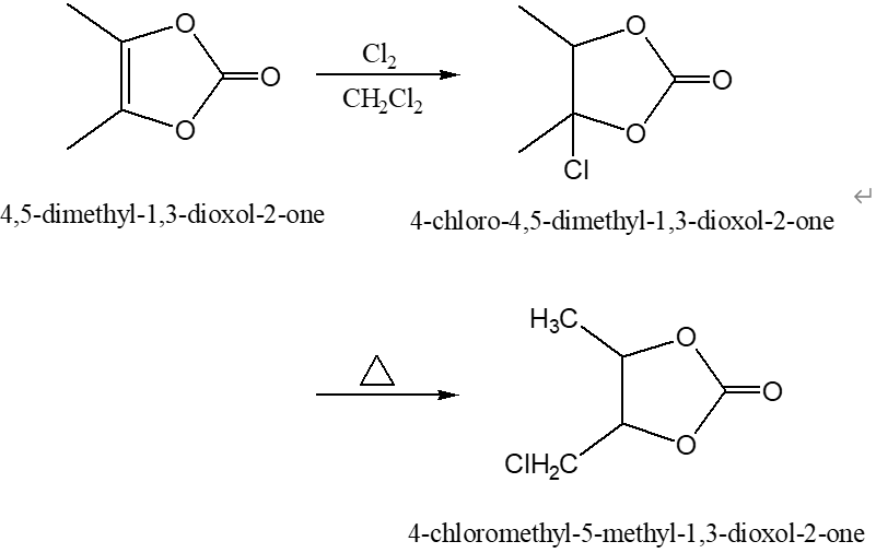
4,5-Диметил-1,3-Диоксол-2-Один (ДМДО) CAS 37830-90-3
4-Хлорметил-5-Метил-1,3-Диоксол-2-Один (ДМДО-Cl) CAS 80841-78-7
Этил 4-(1-Гидрокси-1-Метилэтил)-2-Пропил-Имидазол-5-Карбоксилат CAS 144689-93-0
Диэтил 2-Пропил-1H-Имидазол-4,5-Дикарбоксилат CAS 144689-94-1
Этиловый эфир тритил-олмесартана CAS 144690-33-5
Тритилолмесартановая кислота CAS 761404-85-7
N2 - Тритил-олмесартановая кислота CAS 752179 - 89 - 8
Тритил Олмесартан Медоксомил CAS 144690-92-6
Олмесартан Медоксомил CAS 144689-63-4
| Химическое название | 4-Хлорметил-5-метил-1,3-диоксол-2-он |
| Синонимы | ДМДО-Cl |
| Номер CAS | 80841-78-7 |
| КАТ номер | RF-PI1871 |
| Статус запасов | В наличии, производственная мощность 300 тонн/год. |
| Молекулярная формула | C5H5ClO3 |
| Молекулярный вес | 148,54 |
| Точка кипения | 93℃/2 мм рт.ст. |
| Бренд | Руифу Кемикал |
| Товар | Технические характеристики |
| Внешний вид | Бесцветная или желтая жидкость |
| Идентификация (GC) | Время удерживания основного пика на хроматограмме образца соответствует времени удерживания стандарта, полученного по чистоте, и родственных веществ. |
| Чистота/метод анализа | >96,0% (GC) |
| Вода (Карл Фишер) | <0,50% |
| Примесь А | <1,50% |
| Примесь Б | <0,50% |
| Примесь С | <3,00% |
| Примесь Д | <4,00% |
| Примесь Е | <0,10% |
| Показатель преломления N20/D | 1,476~1,482 |
| Удельный вес (20/20 ℃) | 1,357~1,363 |
| Протонный ЯМР-спектр | Соответствует структуре |
| Стандартный тест | Корпоративный стандарт |
| Использование | Промежуточное соединение олмесартана медоксомила (CAS: 144689-63-4) |
Путь синтеза 4-хлорметила-5-метила-1,3-диоксола-2-она
Пакет: Фторированная бутылка, 25 кг/бочка или по требованию заказчика.
Условия хранения:Хранить в герметичных контейнерах в сухом и прохладном месте; Беречь от света и влаги


4-Хлорометил-5-метил-1,3-диоксол-2-он, (ДМДО-Cl) (CAS: 80841-78-7) является промежуточным продуктом олмесартана медоксомила (CAS: 144689-63-4. Олмесартан Медоксомил – новый селективный и конкурентный непептидный антагонист рецепторов ангиотензина II, используемый для лечения высокого кровяного давления. Олмесартан блокирует связывание ангиотензина II с АТ1-рецепторами в сосудистых мышцах. Блокируя скорее связывание, чем синтез ангиотензина II, олмесартан ингибирует негативную регуляторную обратную связь на секрецию ренина. Олмесартан Медоксомил был запущен в продажу в США под названием Benicar®, перорального препарата для лечения гипертонии.





