Заводская цена (4S)-3-[(5S)-5-(4-Фторфенил)-5-гидроксипентаноил]-4-фенил-1 3-оксазолидин-2-один - 4-(4-Аминофенил)морфолин-3-Один CAS 438056-69-0 Промежуточный ривароксабан – Руифу
Заводская цена (4S)-3-[(5S)-5-(4-Фторфенил)-5-гидроксипентаноил]-4-фенил-1 3-оксазолидин-2-один - 4-(4-Аминофенил)морфолин-3-Один CAS 438056-69-0 Промежуточный продукт ривароксабана – RuifuПодробнее:
Производитель с высокой чистотой и конкурентоспособной ценой
Коммерческая поставка ривароксабана (CAS: 366789-02-8). Родственные промежуточные соединения:
(S)-(+)-глицидилфталимид CAS: 161596-47-0
4-(4-аминофенил)морфолин-3-он CAS: 438056-69-0
2-[(2R)-2-Гидрокси-3-[[4-(3-оксо-4-морфолинил)фенил]амино]пропил]-1H-изоиндол-1,3(2H)-дион 446292-07-5
5-Хлоротиофен-2-карбоновая кислота CAS: 24065-33-6
Ривароксабан CAS: 366789-02-8
| Химическое название | 4-(4-аминофенил)морфолин-3-он |
| Номер CAS | 438056-69-0 |
| КАТ номер | RF-PI129 |
| Статус запасов | В наличии, объем производства до тонн |
| Молекулярная формула | С10Х12Н2О2 |
| Молекулярный вес | 192,21 |
| Бренд | Руифу Кемикал |
| Товар | Технические характеристики |
| Внешний вид | Кристаллический порошок от белого до светло-желтого или светло-коричневого цвета. |
| Чистота/метод анализа | ≥99,0% (ВЭЖХ) |
| Точка плавления | 165,0~175,0°С |
| Идентификация | ХЯМР |
| Влажность (К.Ф.) | ≤1,0% |
| Потери при сушке | ≤0,50% |
| Остаток при зажигании | ≤0,10% |
| Макс. одиночная примесь | ≤0,50% |
| Всего примесей | ≤1,5% |
| Стандартный тест | Корпоративный стандарт |
| Использование | Ривароксабан (CAS: 366789-02-8) Промежуточный уровень |
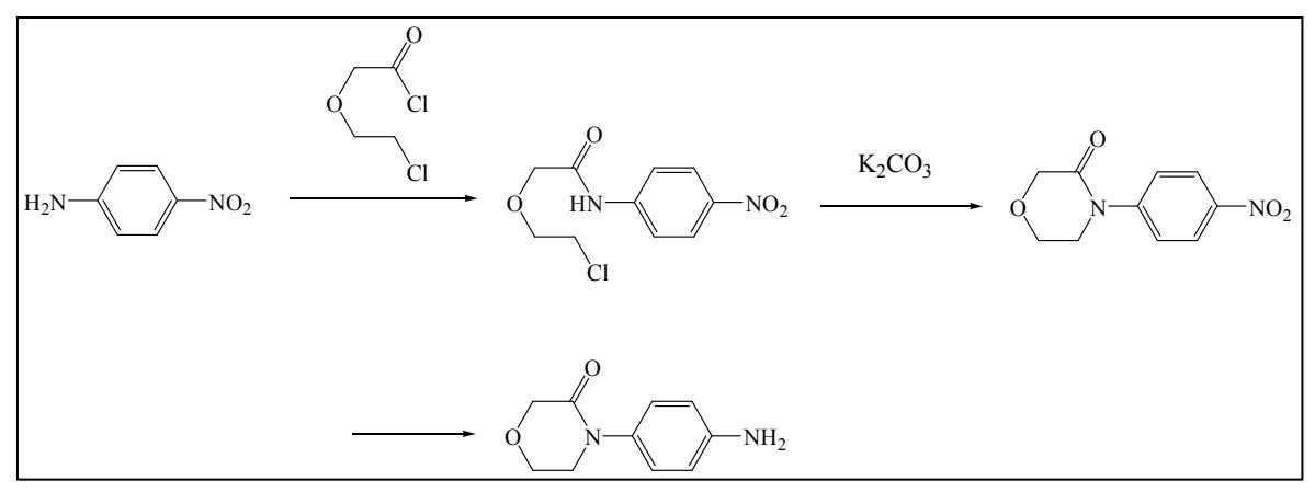
4-(4-Аминофенил)морфолин-3-он CAS: 438056-69-0 Путь синтеза
Пакет: Бутылка, пакет из алюминиевой фольги, картонный барабан, 25 кг/барабан или по требованию заказчика.
Условия хранения:Хранить в герметичных контейнерах в сухом и прохладном месте; Защищайте от света, влаги и вредителей.


Shanghai Ruifu Chemical Co., Ltd. является ведущим производителем и поставщиком 4-(4-аминофенил)морфолина-3-она (CAS: 438056-69-0) высокого качества. Обычно он является промежуточным продуктом при синтезе ривароксабана (CAS: 366789-02-8).
Ривароксабан (Ксарелто; CAS: 366789-02-8) представляет собой новый пероральный прямой ингибитор фактора Ха (FXa) на поздней стадии разработки для профилактики и лечения тромбоэмболических заболеваний. Ривароксабан также ингибирует активность протромбиназы с IC50 2,1 нМ. Ривароксабан также проявляет сходное сродство к очищенному FXa человека и кролика (IC50 0,7 нМ и 0,8 нМ соответственно), но меньшую активность в отношении очищенного FXa крысы (IC50 3,4 нМ). Эндогенный FXa человека и кролика в плазме ингибируется в одинаковой степени ривароксабаном (IC50 21 нМ и 21 нМ соответственно), тогда как в плазме крыс требуются в 14 раз более высокие концентрации (IC50 290 нМ). Ривароксабан проявляет высокую проницаемость и поляризованный транспорт через клетки Caco-2 в качестве субстрата P-gp, но не проявляет ингибирующего действия на P-gp--опосредованный транспорт лекарственного средства вплоть до концентраций 100 мкМ in vitro.
Подробные изображения продукта:
![Factory Price (4S)-3-[(5S)-5-(4-Fluorophenyl)-5-hydroxypentanoyl]-4-phenyl-1 3-oxazolidin-2-one - 4-(4-Aminophenyl)morpholin-3-One CAS 438056-69-0 Rivaroxaban Intermediate – Ruifu detail pictures](/upload/image/products/e2fc83561.jpg)
Сопутствующее руководство по продукту:
Мы настаиваем на том, чтобы предлагать высококачественную продукцию с превосходной концепцией делового предприятия, честным доходом, а также отличным и быстрым обслуживанием. это принесет вам не только высококачественное решение и огромную прибыль, но, по сути, самое важное - это занять бесконечный рынок по заводской цене (4S)-3-[(5S)-5-(4-фторфенил)-5-гидроксипентаноил]-4-фенил-1 3-оксазолидин-2-он - 4-(4-Аминофенил)морфолин-3-One CAS 438056-69-0 Ривароксабан Промежуточный продукт – Руифу. Продукт будет поставляться по всему миру, например: Сингапур, Марсель, Чехия. Наши продукты широко признаны и пользуются доверием пользователей и могут удовлетворить постоянно развивающиеся экономические и социальные потребности. Мы приветствуем новых и старых клиентов из всех слоев общества, чтобы связаться с нами для будущих деловых отношений и достижения взаимного успеха!




