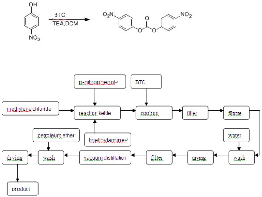
Бис(4-нитрофенил)карбонат (NPC) CAS 5070-13-3 Чистота >99,0% (ВЭЖХ) Реагенты для связывания
Shanghai Ruifu Chemical Co., Ltd. является ведущим производителем бис(4-нитрофенил)карбоната (NPC) (CAS: 5070-13-3) высокого качества. Ruifu Chemical поставляет серию защитных реагентов и связующих реагентов. Ruifu может обеспечить доставку по всему миру, конкурентоспособные цены, небольшие и оптовые партии. Покупка NPC, Пожалуйста, свяжитесь с: alvin@ruifuchem.com
| Химическое название | Бис(4-Нитрофенил)карбонат |
| Синонимы | НПС; бис(п-нитрофенил)карбонат; Бис(4-нитрофенил)эфир угольной кислоты; 4-Нитрофенилкарбонат; 4,4'-динитродифенилкарбонат; ди-4-нитрофенилкарбонат; ди-п-нитрофенилкарбонат; p,p'-динитродифенилкарбонат; |
| Статус запасов | В наличии, массовое производство |
| Номер CAS | 5070-13-3 |
| Молекулярная формула | C13H8N2O7 |
| Молекулярный вес | 304,21 г/моль |
| Точка плавления | 137,0~144,0℃ |
| Плотность | 1,501±0,06 г/см3 |
| Чувствительный | Чувствителен к влаге |
| Растворимость в воде | Нерастворим в воде |
| Растворимость | Растворим в хлороформе и тетрагидрофуране. |
| Температура хранения. | Прохладное и сухое место (2~8℃) |
| Сертификат подлинности и паспорт безопасности материала | Доступно |
| Категория | Связывающие реагенты |
| Бренд | Руифу Кемикал |
| Предметы | Стандарты проверки | Результаты |
| Внешний вид | От белого до светло-желтого кристаллического порошка | Соответствует |
| Точка плавления | 137,0~144,0℃ | 139,7~140,9℃ |
| Потери при сушке | <0,50% | 0,11% |
| Остаток при зажигании | <0,20% | <0,10% |
| Чистота/метод анализа | >99,0% (ВЭЖХ) | 99,76% |
| 300 МГц | В соответствии со структурой | Соответствует |
| Заключение | Продукт протестирован и соответствует указанным спецификациям. | |
Пакет: Бутылка, мешок из алюминиевой фольги, картонный барабан по 25 кг или по требованию заказчика.
Условия хранения:Чувствителен к влаге. Хранить в герметичных контейнерах в прохладном и сухом (2~8℃) складе вдали от несовместимых веществ. Беречь от света и влаги. Несовместим с сильными окислителями и кислотами.
Доставка:Доставка по всему миру службами FedEx/DHL Express. Обеспечьте быструю и надежную доставку.
1. Свойства: Этот продукт должен представлять собой кристаллический порошок от белого до светло-желтого цвета.
2. Определение содержания: силикагель, связанный октадецилсиланом, в качестве наполнителя (250*4,6 мм*5,0 мкм); Ацетонитрил:Вода =70:30 – подвижная фаза; Длина волны обнаружения составляла 254 нм. Скорость потока: 0,6 мл/мин; Теоретический пресс номер доски против NPC
Основной пик должен быть не менее 2000.
Метод определения: Возьмите этот продукт, приготовьте раствор ацетонитрила, содержащий 20 мкг NPC в каждом 1 мл, в качестве раствора тестируемого продукта.
В хроматограф вводили 20 мкл тестируемого раствора, время удерживания хроматограммы до основного пика составляло 2 раза.
Результаты: Рассчитано методом нормализации площади, NPC содержало не менее 99,0%.
3. Точка плавления: Точка плавления продукта должна быть определена в соответствии с методом определения температуры плавления (Приложение VII C, издание Китайской Фармакопеи 2010 г.): 137,0 ~ 144,0 ℃.
4. ЯМР-характеристика: частота составляла 300 МГц, и CDCl3 использовался в качестве растворителя для проведения ЯМР-характеристики образцов при комнатной температуре.
5. Потеря при высыхании: Доведите этот продукт до постоянного веса при вакуумной сушке при температуре 60℃, потеря веса не должна превышать 0,5%.
6. Хранение: Хранить в прохладном и сухом, защищенном от света месте (RT).
7. Срок повторной проверки: один год.
Как купить? Пожалуйста, свяжитесьДоктор Элвин Хуанг: sales@ruifuchem.com или alvin@ruifuchem.com
15 лет опыта?Мы обладаем более чем 15-летним опытом производства и экспорта широкого спектра высококачественных фармацевтических промежуточных продуктов или продуктов тонкой химии.
Основные рынки? Продавайте на внутренний рынок, в Северную Америку, Европу, Индию, Корею, Японию, Австралию и т. д.
Преимущества? Превосходное качество, доступная цена, профессиональные услуги и техническая поддержка, быстрая доставка.
Качество Гарантия? Строгая система контроля качества. Профессиональное оборудование для анализа включает ЯМР, ЖХ-МС, ГХ, ВЭЖХ, ИСП-МС, УФ, ИК, OR, K.F, ROI, LOD, MP, прозрачность, растворимость, тест на лимит микробов и т. д.
Образцы? Большинство продуктов предоставляют бесплатные образцы для оценки качества, стоимость доставки должна быть оплачена клиентами.
Заводской аудит? Заводской аудит приветствуется. Пожалуйста, назначайте встречу заранее.
Минимальный заказ? Нет минимального заказа. Небольшой заказ приемлем.
Время доставки? Если товар есть на складе, доставка в течение трех дней гарантирована.
Транспорт? Экспресс (FedEx, DHL), по воздуху, по морю.
Документы? Послепродажное обслуживание: сертификаты подлинности, MOA, ROS, MSDS и т. д. могут быть предоставлены.
Пользовательский синтез? Может предоставить индивидуальные услуги по синтезу, которые наилучшим образом соответствуют вашим исследовательским потребностям.
Условия оплаты? Счет-проформа будет отправлен первым после подтверждения заказа с приложением нашей банковской информации. Оплата банковским переводом (телексный перевод), PayPal, Western Union и т. д.
Символы опасности Xi - Раздражающий
Коды риска
36/38 - Раздражает глаза и кожу.
Описание безопасности
С26 - При попадании в глаза немедленно промыть большим количеством воды и обратиться к врачу.
С36 - Носите подходящую защитную одежду.
ВГК Германия 3
F-КОДЫ FLUKA БРЕНДА 10-21
Код ТН ВЭД 2920909090
Бис(4-нитрофенил)карбонат (NPC) (CAS: 5070-13-3) используется в качестве реагента для получения симметричной и несимметричной мочевины и 4-нитрофениловых эфиров N-защищенных аминокислот. Он действует как реагент связывания пептидов. Он находит применение в качестве реагента для получения карбамат-связанных цитозинов.
NPC можно использовать в качестве промежуточного продукта для таких АФИ, как ритонавир (CAS: 155213-67-5), ривастигмин (CAS: 123441-03-2) и кобицистат (CAS: 1004316-88-4). Используется в качестве промежуточного продукта органического синтеза, фармацевтического промежуточного продукта или химического реагента.






